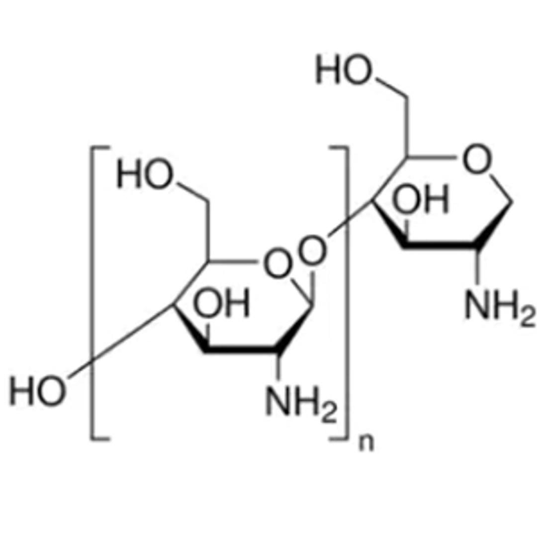
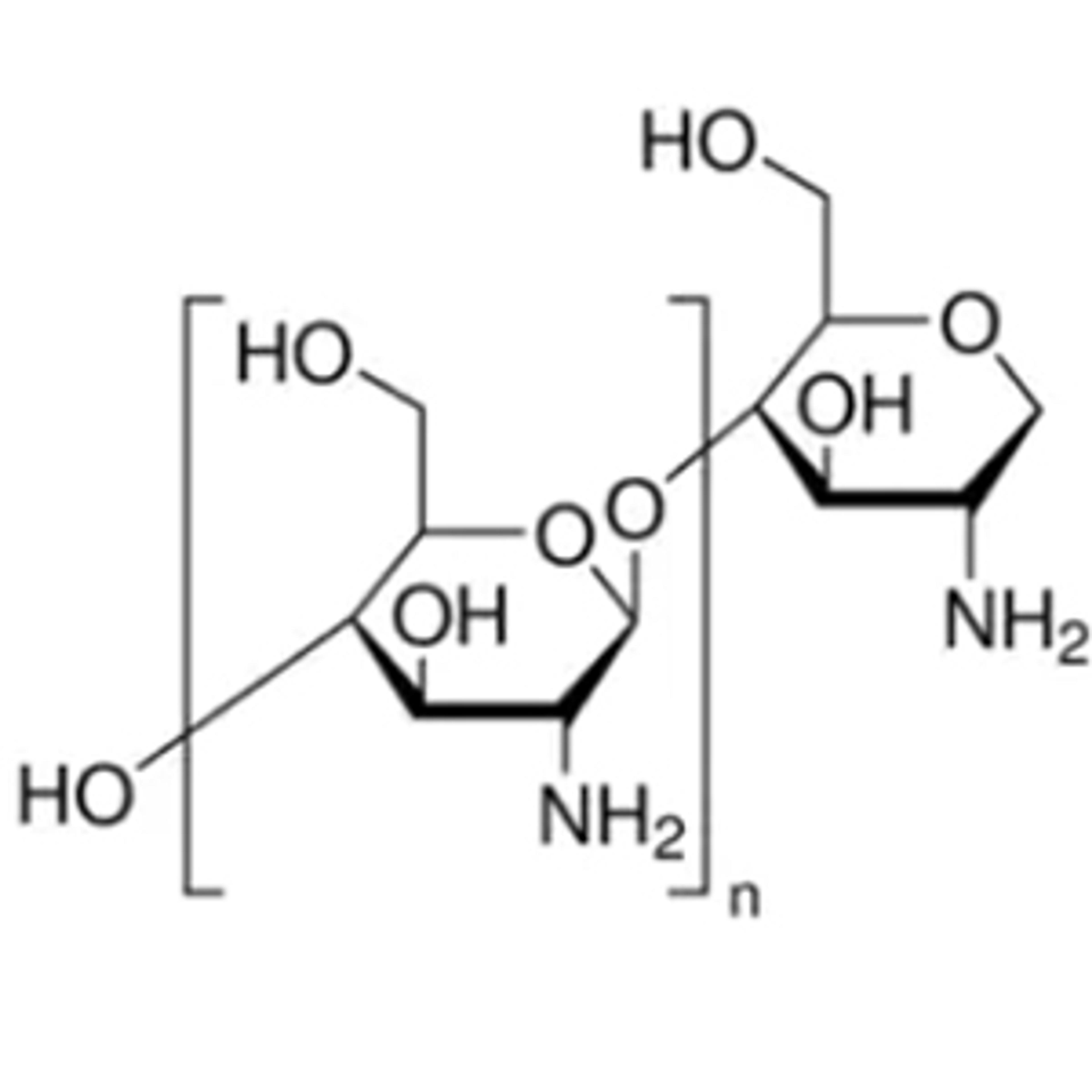
Chitosan
Deacetylated chitin, Poly(D-glucosamine)

The supplier does not provide quotations for this product through SelectScience. You can search for similar products in our Product Directory.
Accessibility of chitosan in film preparation for different uses
Biodegradable film preparation
The different molecular weights of chitosan was used to cast the film and their applicability in packaging, membrane technology, and medical applications were investigated for industrial application
Review Date: 26 Jul 2022 | Merck
Quality of the chitosan
Film preparation
The supplier has provided a good quality product without any kind of impurities. The resulted solution was transparent and free from the suspended particles. It was very helpful for the film preparation without filtering it.
Review Date: 19 Jul 2022 | Merck
Deacetylated chitin, Poly(D-glucosamine)

















