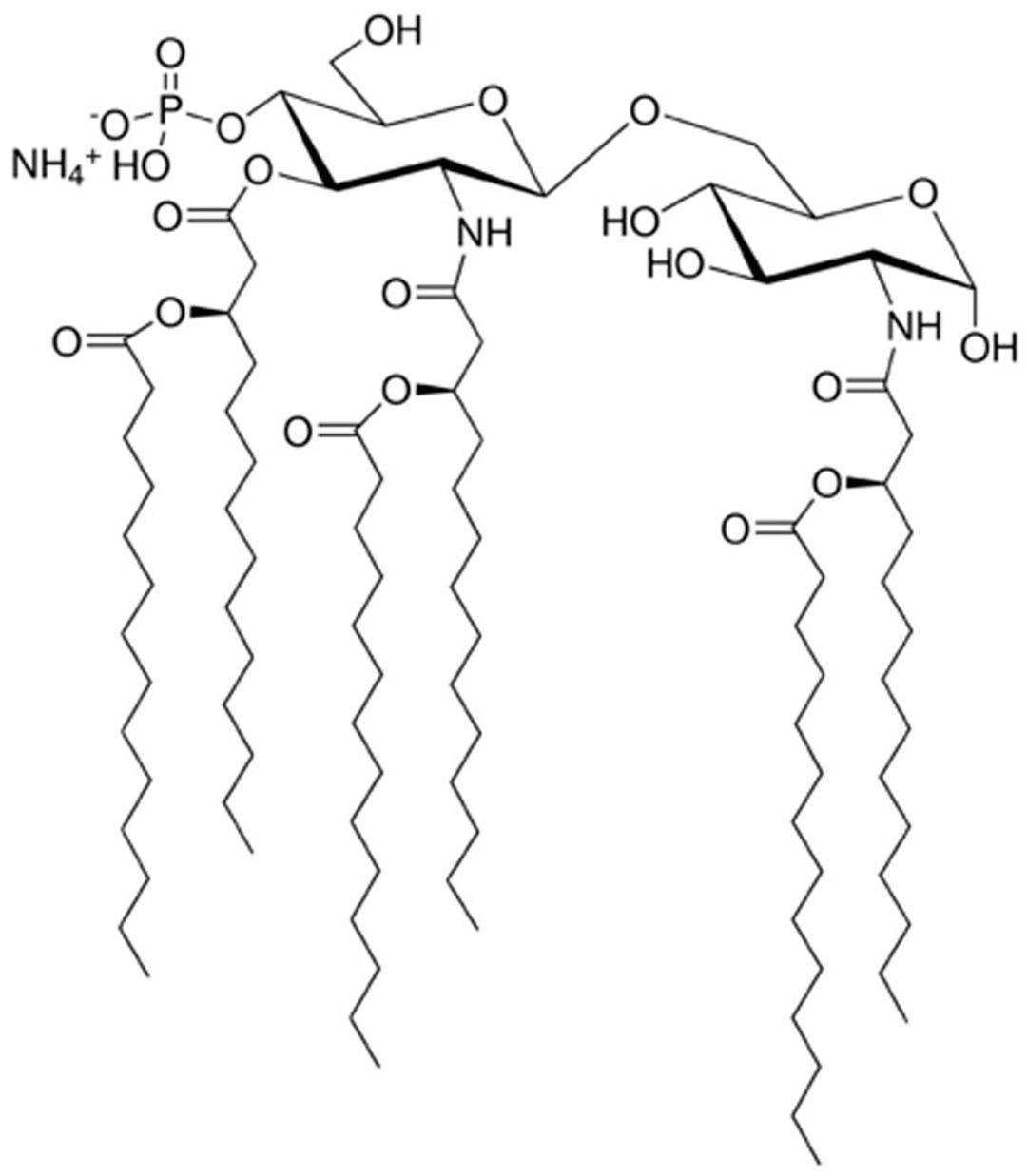
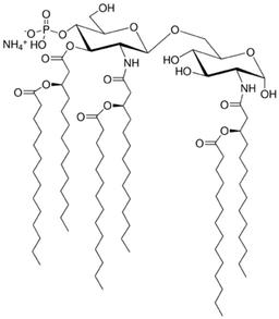
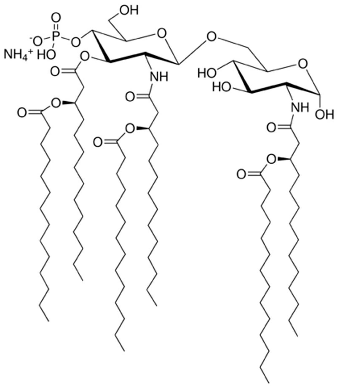
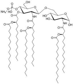
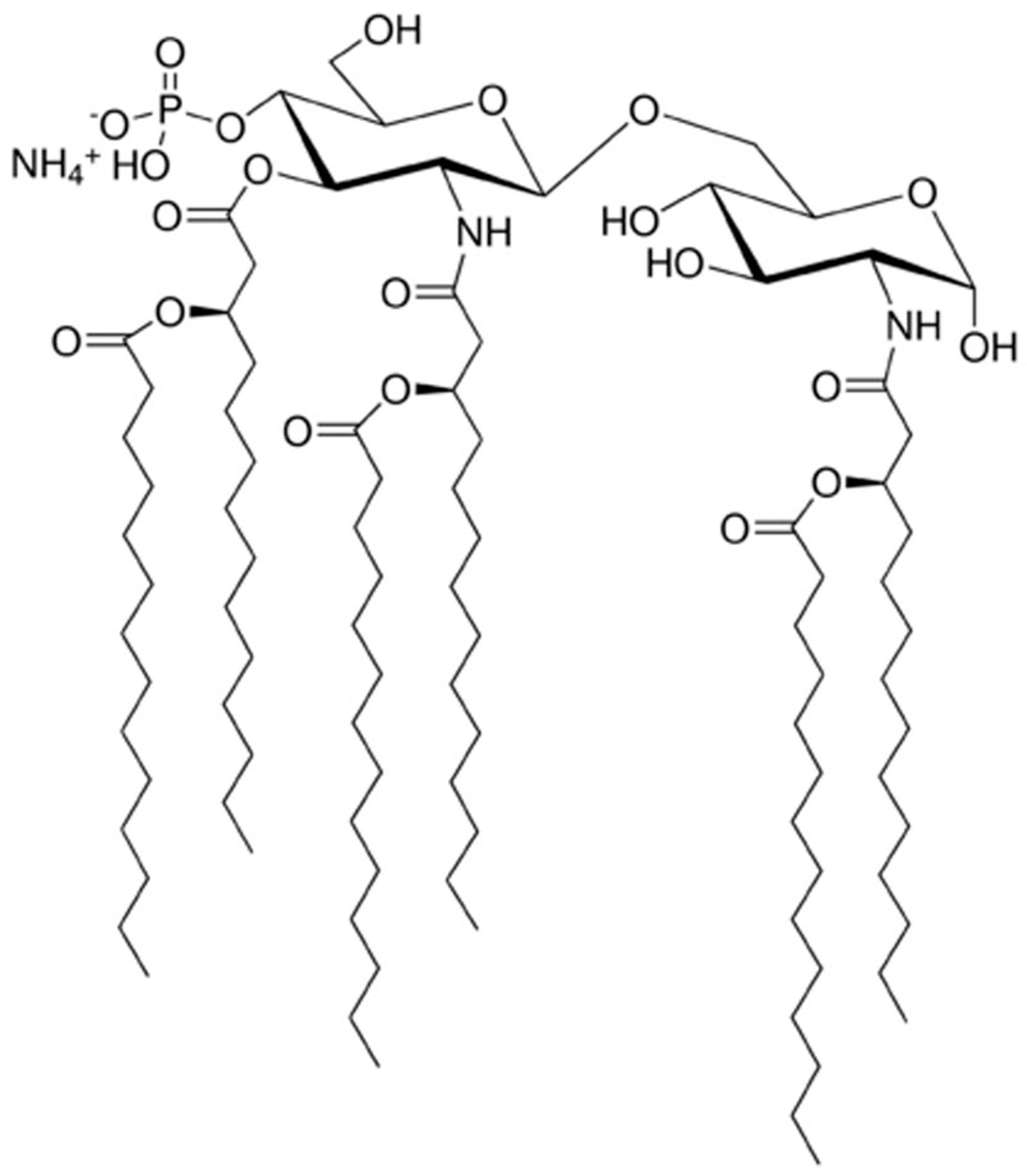
Avanti® Polar Lipids 3D-(6-acyl) PHAD®
Monophosphoryl Hexa-acyl Lipid A, 3-Deacyl (Synthetic), powder

The supplier does not provide quotations for this product through SelectScience. You can search for similar products in our Product Directory.
Vaccination is well-accepted as an effective method to prevent infections by mounting pathogen-specific immune responses prior to the infection. Usually, immunization with vaccine antigens alone is not able to induce robust or long-lasting immune responses — resulting in failure of protective immunity against infections. Thus, adjuvants are required to enhance cellular or humoral immune responses upon immunization. Because vaccine adjuvants using Lipid A have proven to be safe and effective in inducing Th-1 type immune responses to heterologous proteins in animal and human vaccines, Avanti developed Phosphorylated HexaAcyl Disaccharide (PHAD®), the first fully synthetic monophosphoryl Lipid A available for use as an adjuvant in human vaccines.
Packaging
- 2 mL Amber Glass Crimp Cap Vial (699855P-1mg)
- 2 mL Amber Glass Crimp Cap Vial (699855P-5mg)
Other Notes
- For R&D use only. Not for drug, household, or other uses.
Legal Information
PHAD is a registered trademark of Avanti Polar Lipids, Inc.

















