Avanti® Polar Lipids 18:1 PI(3)P

Merck KGaA, Darmstadt, Germany850150PAvailable: ,Western Europe,Asia,Eastern Europe,South Central America,Caribbean,Australia Oceania,Middle East,Africa,Other

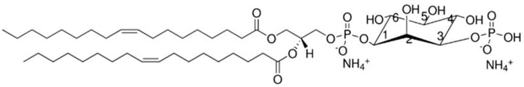
1,2-dioleoyl-sn-glycero-3-phospho-(1'-myo-inositol-3'-phosphate) (ammonium salt), powder

Merck KGaA, Darmstadt, Germany

The supplier does not provide quotations for this product through SelectScience. You can search for similar products in our  Product Directory.

Ease of Use
After Sales Service
Value for Money
Be the first to leave a review
Description

Inositol phospholipid species are membrane-bound signaling molecules that have been implicated in almost all aspects of cellular physiology, including cellular growth, metabolism, proliferation, and survival.

Packaging

  • 2 mL Amber Serum Vial with Stopper and Crimp Cap (850150P-100ug)
  • 2 mL Amber Serum Vial with Stopper and Crimp Cap (850150P-500ug)

Product Overview

Links

Buy Avanti® Polar Lipids 18:1 PI(3)P Read Reviews