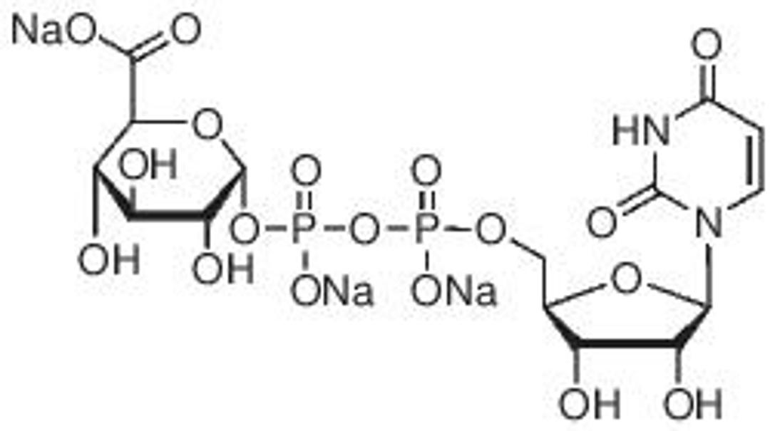
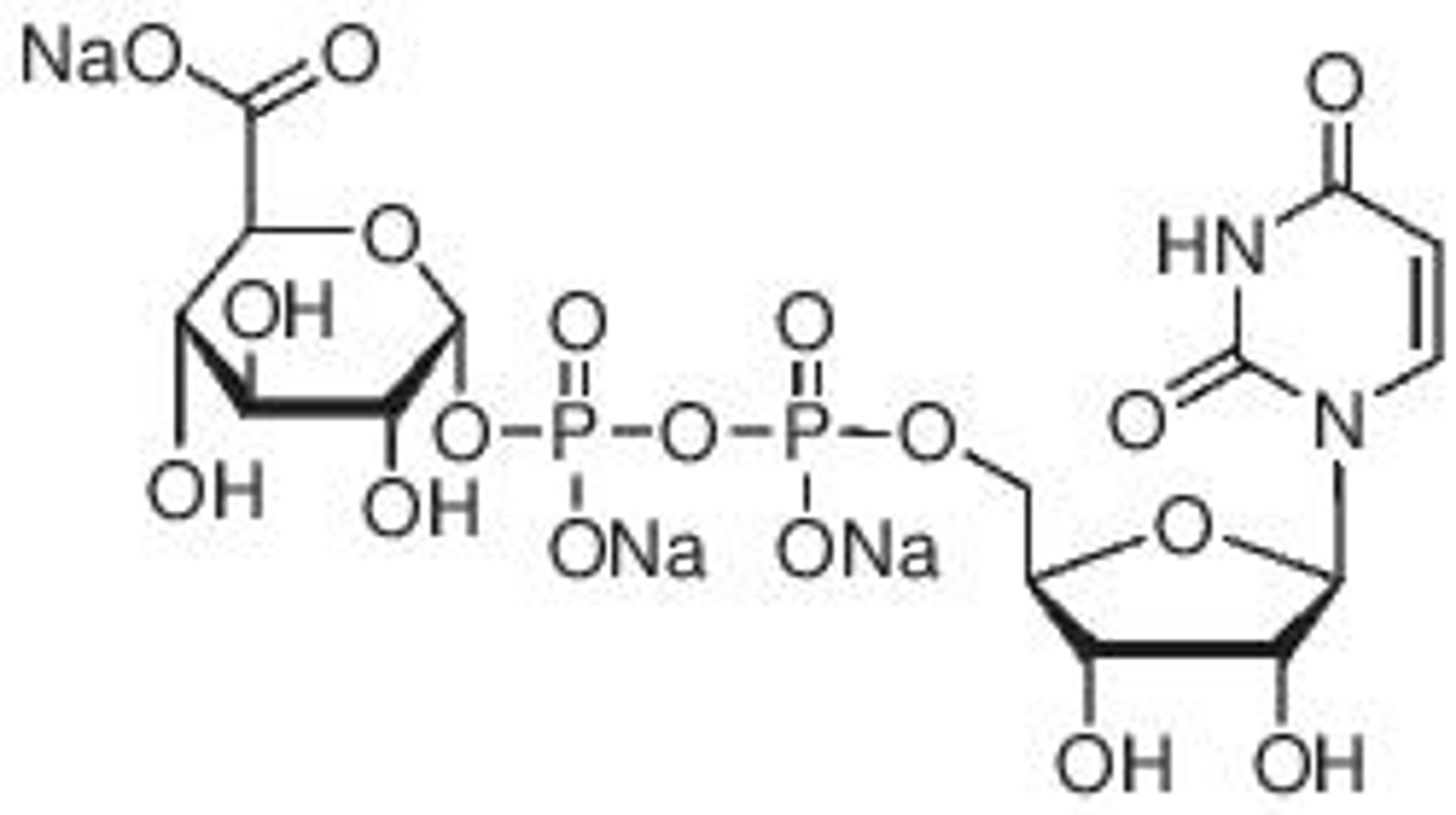
Uridine 5′-diphosphoglucuronic acid trisodium salt
98-100%

The supplier does not provide quotations for this product through SelectScience. You can search for similar products in our Product Directory.
Uridine 5′-diphosphoglucuronic acid trisodium salt has been used in optimization of incubation assay and glucuronidation assay.













