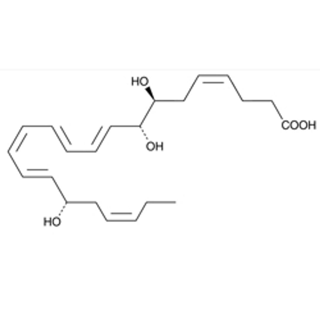
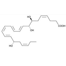
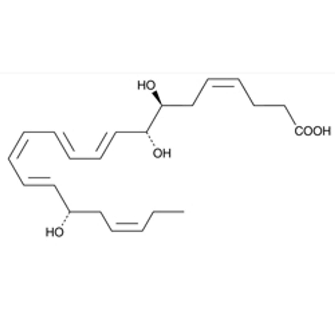
Resolvin D1
Resolvins are a family of potent lipid mediators derived from both eicosapentaenoic acid (EPA; Item No. 90110) and docosahexaenoic acid (DHA; Item No. 90310). In addition to being anti-inflammatory, resolvins promote the resolution of the inflammatory response back to a non-inflamed state. Resolvin D1 (RvD1) is produced physiologically from the sequential oxygenation of DHA by 15- and 5-lipoxygenase. A 17(R)-epimer (Item No. 1…

The supplier does not provide quotations for this product through SelectScience. You can search for similar products in our Product Directory.
Great resolvin D1.
Protein levels
Resolvin D1 is a very good product. Its activity is very high in cells.
Review Date: 19 Mar 2021 | Cayman Chemical Co.
Manufacturer's Response
Raj, we are happy to hear about your positive experience. Thank you for taking the time to leave a review.
Resolvins are a family of potent lipid mediators derived from both eicosapentaenoic acid (EPA; Item No. 90110) and docosahexaenoic acid (DHA; Item No. 90310). In addition to being anti-inflammatory, resolvins promote the resolution of the inflammatory response back to a non-inflamed state. Resolvin D1 (RvD1) is produced physiologically from the sequential oxygenation of DHA by 15- and 5-lipoxygenase. A 17(R)-epimer (Item No. 13060) of RvD1 can also be generated in aspirin-treated samples. Both RvD1 and its 17(R)-configuration reduce human polymorphonuclear leukocyte (PMNL) transendothelial migration, the earliest event in acute inflammation, with EC50 values of ~30 nM. RvD1 and its aspirin-triggered form also exhibit a dose-dependent reduction in leukocyte infiltration in a mouse model of peritonitis with a maximal inhibition of ~35% at a 10-100 ng dose. Analytical and biological comparisons of synthetic RvD1 with endogenously derived RvD1 have confirmed its identity as matching the natural product.
















