Mutanolysin From Streptomyces globisporus ATCC 21553
Lyophilized powder, ≥4000 units/mg protein (biuret), Chromatographically purified
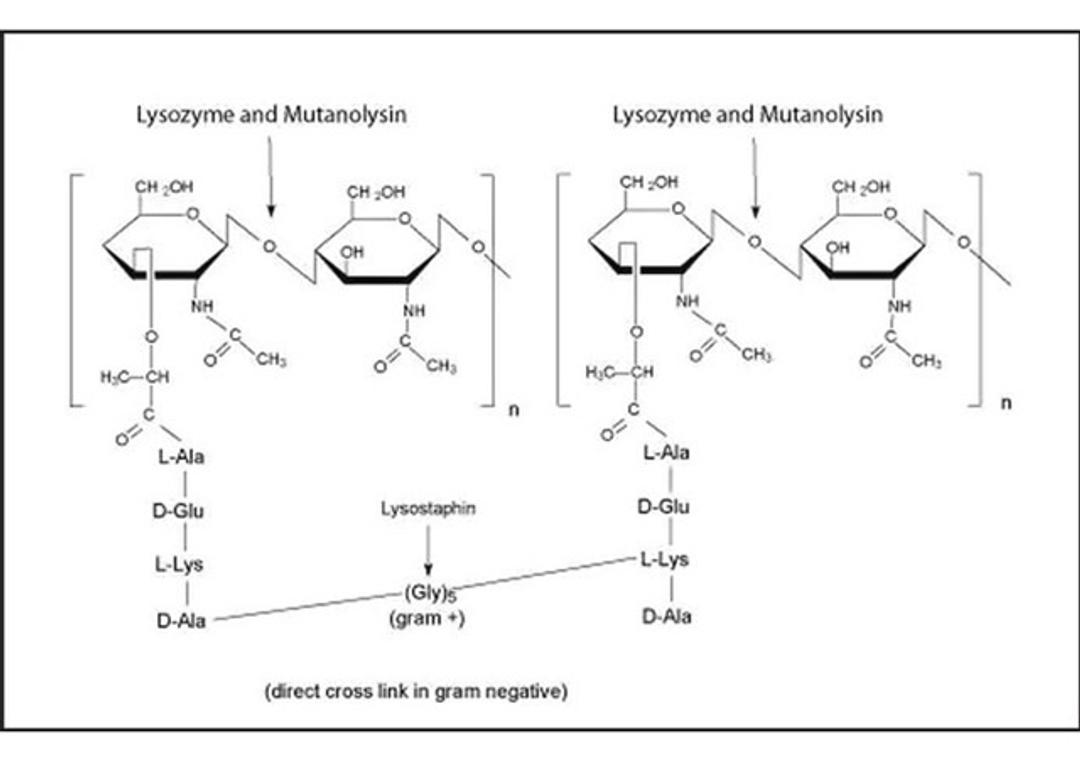
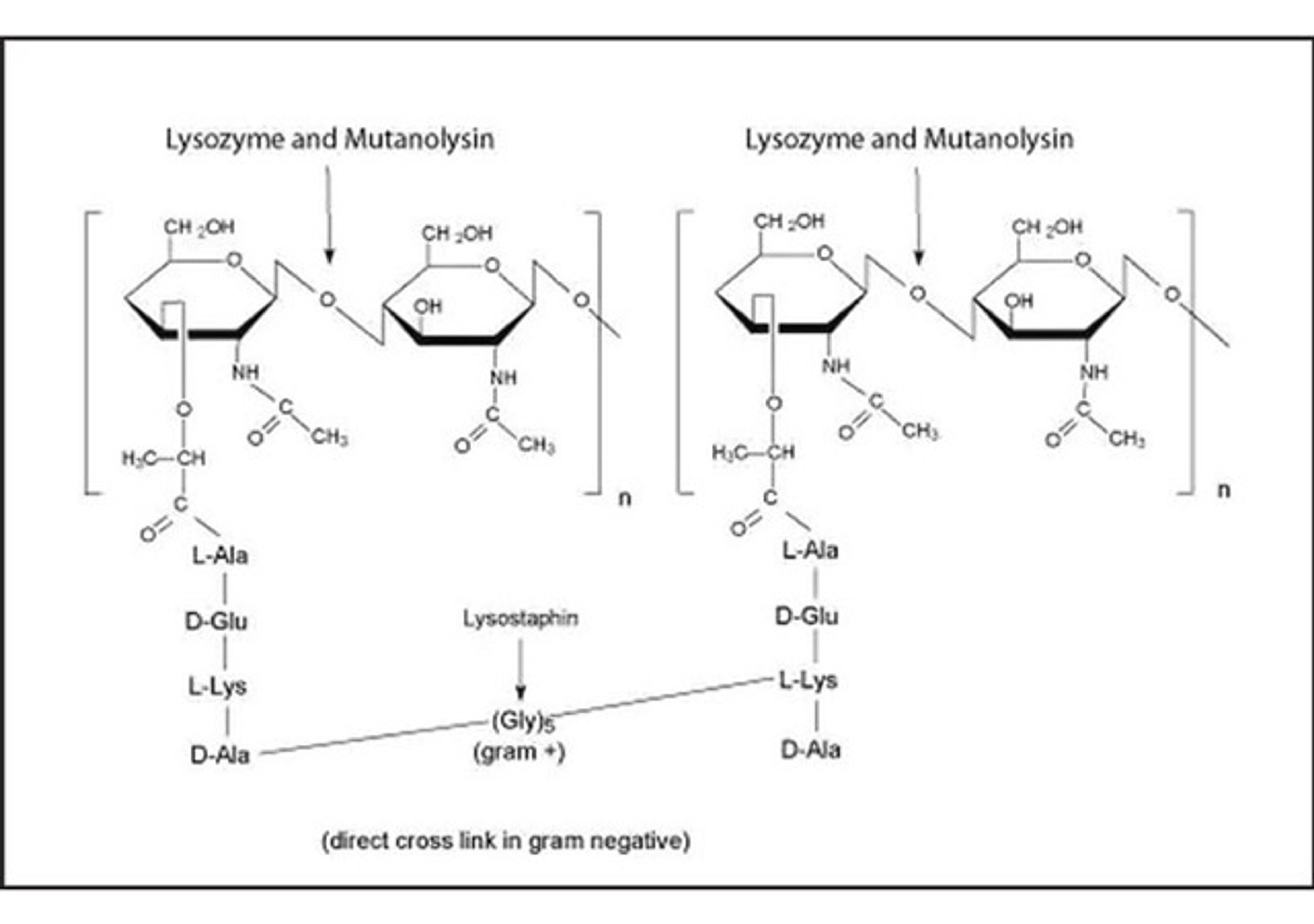
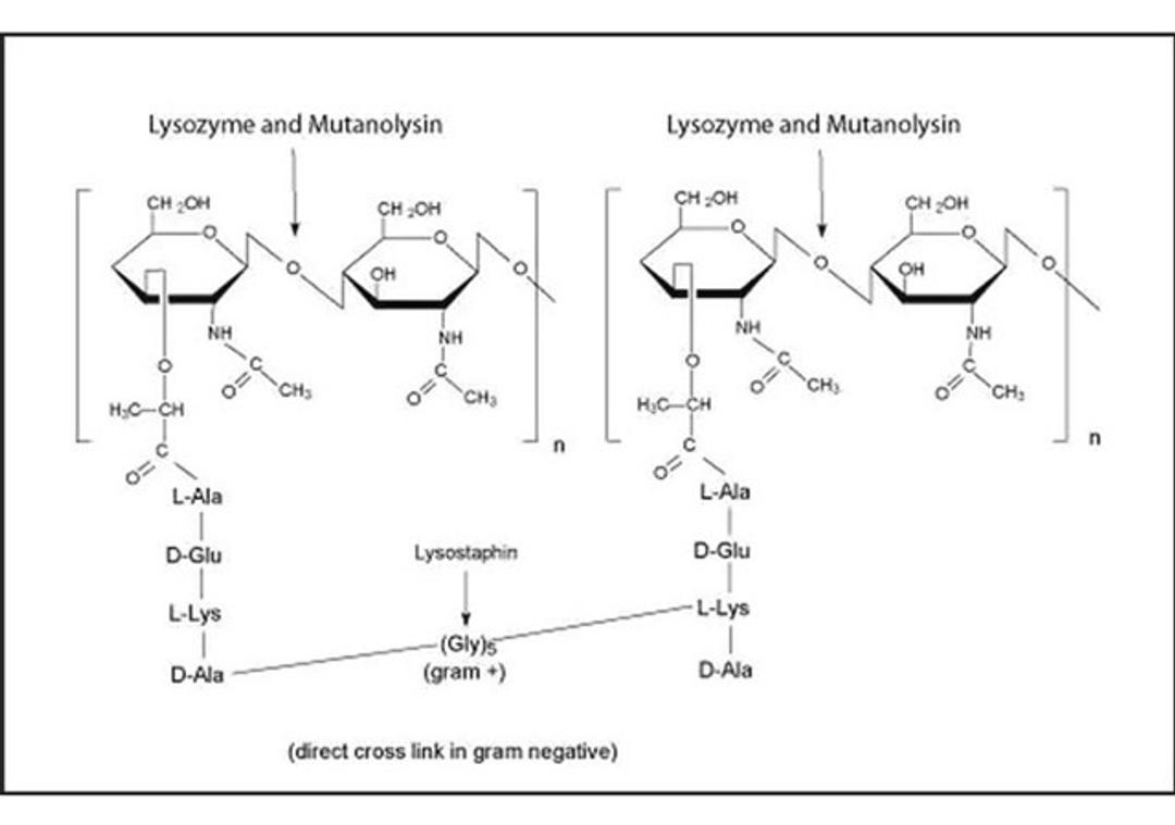
Mutanolysin from Streptomyces globisporus consists of two main lytic enzymes and may be a useful agent for dental caries control.
Application
Mutanolysin has been used in a study to assess lysing and generating protoplasts of dairy streptococci. It has also been used in a study to investigate the conversion of group B streptococci to protoplasts. It provides gentle cell lysis for the isolation of easily degradable biomolecules and RNA from bacteria. It has been used in the formation of spheroplasts for isolation of DNA.
Provides gentle cell lysis for the isolation of easily degradable biomolecules and RNA from bacteria. It has been used in the formation of spheroplasts for isolation of DNA.















