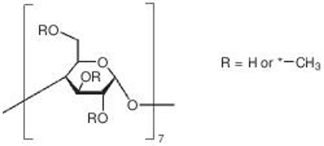
Methyl-β-cyclodextrin
powder, BioReagent, suitable for cell culture

The supplier does not provide quotations for this product through SelectScience. You can search for similar products in our Product Directory.
Use to increase the solubility of non-polar substances such as fatty acids, lipids, vitamins and cholesterol for use in cell culture applications.













