Locked Nucleic Acid & Minor Groove Binder / Eclipse Dark Quencher
Modifications that enhance the performance of oligonucleotides
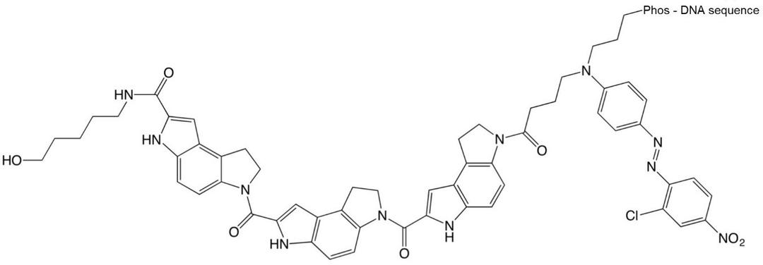
Locked Nucleic Acid and Minor Groove Binder / Elipse Dark Quencher (MGB:EDQ) are modifications that enhance the performance of oligonucleotides. They increase stability and improve the specificity and affinity for base-pairing with target sequences.
Locked Nucleic Acid enhances primers and probes (when combined with BHQ™) in qPCR as well as the effectiveness of therapeutic modalities like antisense oligonucleotides (ASOs). Meanwhile, MGB:EDQ, with its included quencher, specifically enhances probes in qPCR.
Brochures
Locked nucleic acid oligos from Merck
Explore the applications, features, and benefits of the Locked Nucleic Acid Oligos from Merck, available in PCR primers, qPCR probes, and other types of oligonucleotides.
MGB:EDQ probes for qPCR
Merck’s MGB:EDQ probes are designed to set a new benchmark in nucleic acid detection and quantification. With enhanced specificity and sensitivity, reduced background fluorescence, flexible design optimized for multiplexing, and robust technical support, these probes enable researchers to achieve the highest levels of accuracy and reliability in their workflows.





















