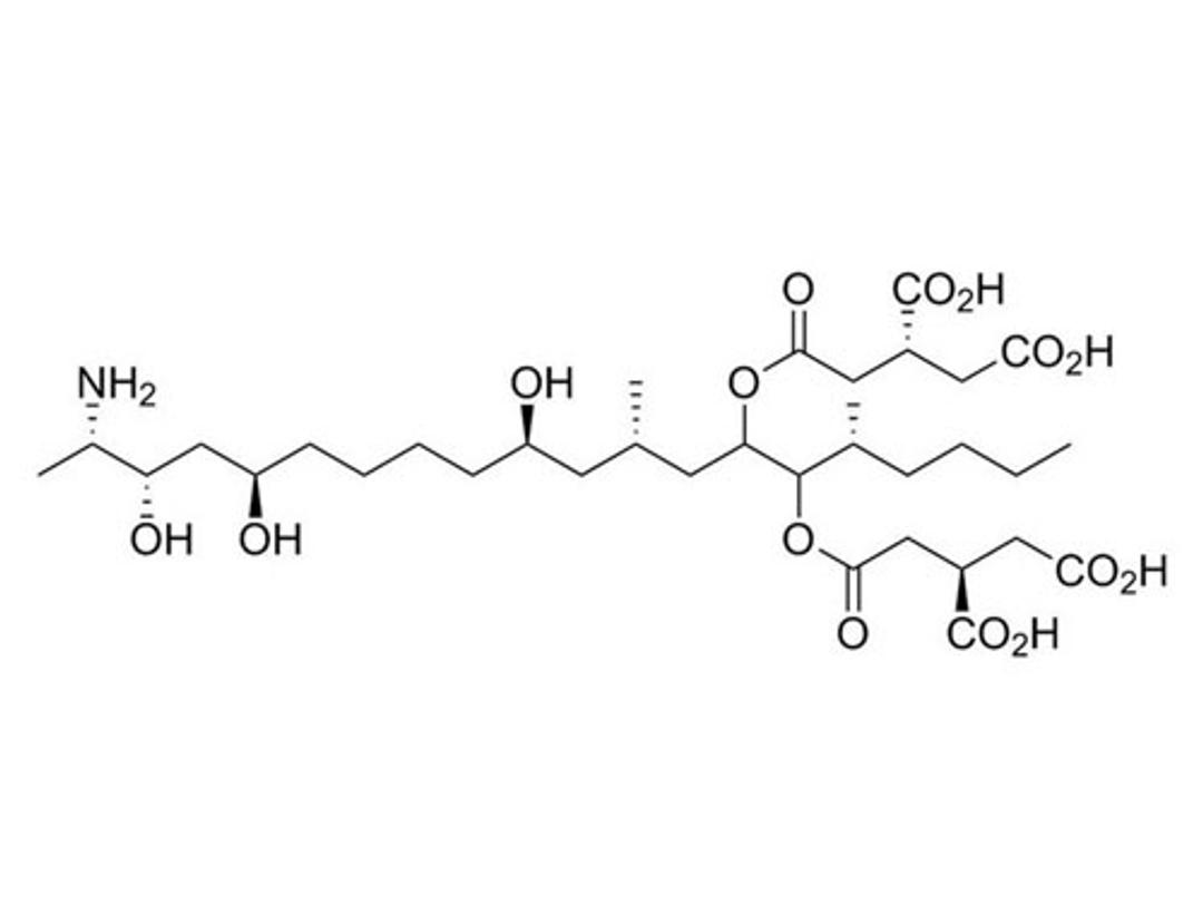
Fumonisin B1
Inhibitor of sphingolipid synthesis and protein serine/threonine phosphatases

The supplier does not provide quotations for this product through SelectScience. You can search for similar products in our Product Directory.
Fumonisin B1 is a mycotoxin produced by Fusarium moniliforme that has been shown to potently inhibit sphingosine N-acyltransferase (ceramide synthase; Wang et al.), thereby disrupting the synthesis of sphingolipids, a key component of plasma membranes (IC₅₀ = 0.1 µM). Fumonisin B1 also inhibits protein serine/threonine phosphatases (PPs; PP1, PP2A, PP2B, PP2C, and PP5/T/K/H) with IC₅₀ values of 80 - 3000 μM. PP5 is the most sensitive with an IC₅₀ of 80 μM (Fukuda et al.). Fumonisin B1, together with Alfatoxin B1, increases reactive oxygen species levels and oxidative damage in rat spleen cells (Mary et al.).
MAINTENANCE & SELF-RENEWAL
- Reversibly blocks cell proliferation and DNA synthesis in Swiss 3T3 cells (Meivar-Levy et al.).
- Blocks hexadecylphosphocholine (HePC)-induced apoptosis in human keratinocyte cell lines (Wieder et al.).
DIFFERENTIATION
- Disrupts dendrite growth in cerebellar Purkinje neurons (Furuya et al).
- Inhibits axonal branching in cultured hippocampal neurons (Schwarz et al.).
CANCER RESEARCH
- li>Attenuates the response of mouse lymphoma cell lines to platelet-activating factor and blocks HePC-induced apoptosis by inhibiting ceramide formation (Balsinde et al.).













