Doxycycline
Antibiotic; Used in Tet-inducible gene expression systems

The supplier does not provide quotations for this product through SelectScience. You can search for similar products in our Product Directory.
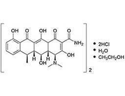
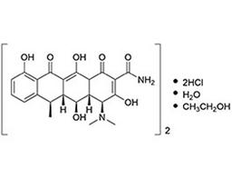
Doxycycline is a tetracycline-like antibiotic (Hicks et al.; Nau et al.; Solís García del Pozo & Solera; Steinhardt et al.). In genetic engineering, doxycycline is used as the regulator for inducible gene expression systems, whereby expression depends on either the presence (Tet-On) or absence (Tet-Off ) of doxycycline. Also, doxycycline inhibits certain matrix metalloproteinases (MMP), such as MMP-8 (Ki = 36 µM; Griffin et al.; Smith et al.). It only poorly inhibits MMP-1 and MMP-13 (Ki > 100 µM; Smith et al.). This product is supplied as the hyclate salt of the molecule.
CELL LINE DEVELOPMENT
- Used as the regulator for inducible gene expression in lentiviral infection and transgenic mouse models using the Tet-On or Tet-Off systems (Brambrink et al.; Carey et al.; Haenebalcke et al.; Hanna et al.; Hockemeyer et al.; Maherali et al.; Markoulaki et al.; Stadtfeld et al. 2008, 2010; Wernig et al.).













