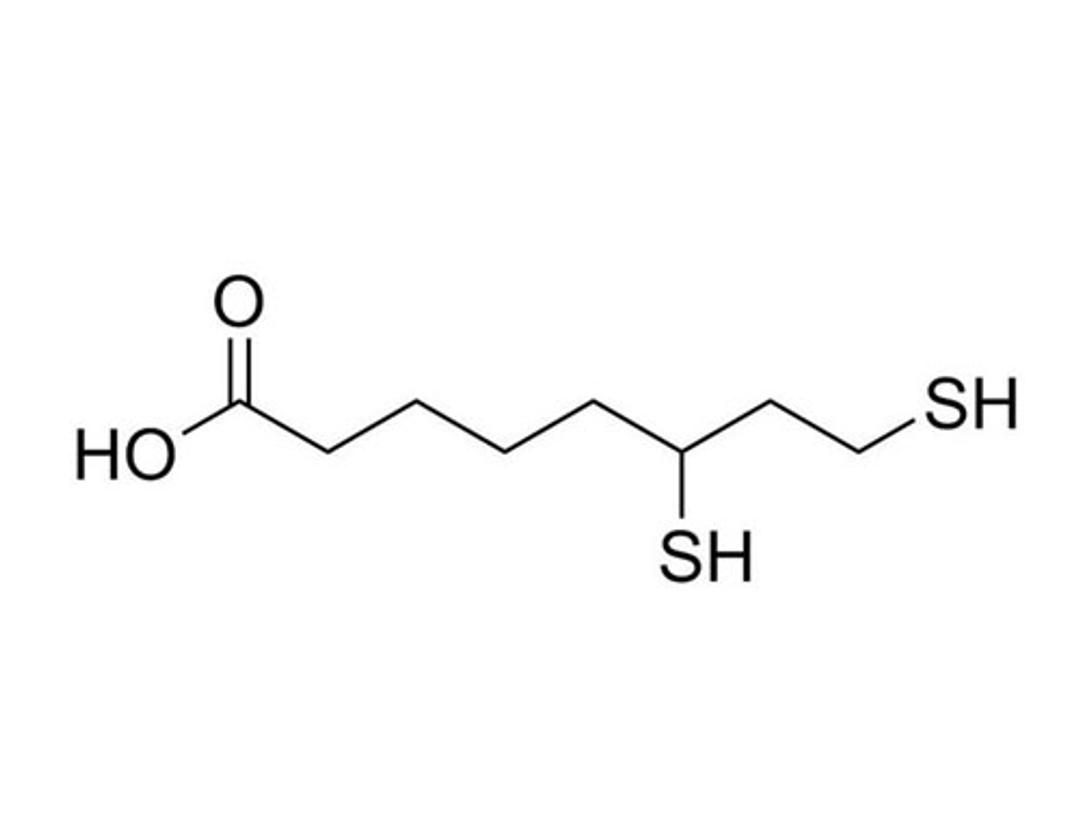
Dihydrolipoic Acid
Antioxidant; Reducing agent

The supplier does not provide quotations for this product through SelectScience. You can search for similar products in our Product Directory.
Dihydrolipoic Acid (DHLA) is the reduced form of alpha-lipoic acid, and is a carboxylic acid containing two thiol groups (Moini et al.). It acts as a general antioxidant that is highly reactive against a variety of reactive oxygen species (ROS), including hydroxyl radicals, peroxynitrite, hydrogen peroxide, and hypochlorite, at concentrations ranging from 0.01 - 0.5 mM (Moini et al.). Dihydrolipoic acid has also been shown to recycle ubiquinone to the antioxidant active divalently reduced form (Nohl & Gille). Conversely, at concentrations higher than 50 - 100 μM, Dihydrolipoic acid directly increases the ROS content, along with a significant increase in cytoplasmic free calcium and nitric oxide (NO) levels, loss of mitochondrial membrane potential, activation of caspases-9 and -3, and cell death (Chan et al.; Houng et al.).
MAINTENANCE & SELF-RENEWAL
- Induces apoptosis and suppresses proliferation in mouse embryonic stem cells (ESC-B5) at a concentration range of 50 - 100 μM and consequently causes cell death at higher concentrations (Chan et al.; Houng et al.).
METABOLISM
- Reduces cytochrome b561, thereby decreasing ascorbate recycling and iron absorption (Bérczi et al.).













