Clara® Probe Mix
Clara® Probe Mix is the newest solution for qPCRs. With clear and consistent results, this cutting-edge qPCR mix will streamline your real-time PCR workload no matter what the application.

The supplier does not provide quotations for this product through SelectScience. You can search for similar products in our Product Directory.
Excellent performance of qPCR mixes
qPCR of environmental samples
We recently switched to Clara Probe mix from our previous supplier and were amazed by the ease of the transition and how efficient and easy to use the Clara Probe mix was. The 4x concentration is much better for shipping and sustainability than our previous 2x mix (taqman environmental). It's also much cheaper and performs far better with more challenging samples. We have been very impressed with this and are now looking at changing our other PCR protocols to other mixes within the PCR Biosystems range.
Review Date: 11 Nov 2024 | PCR Biosystems
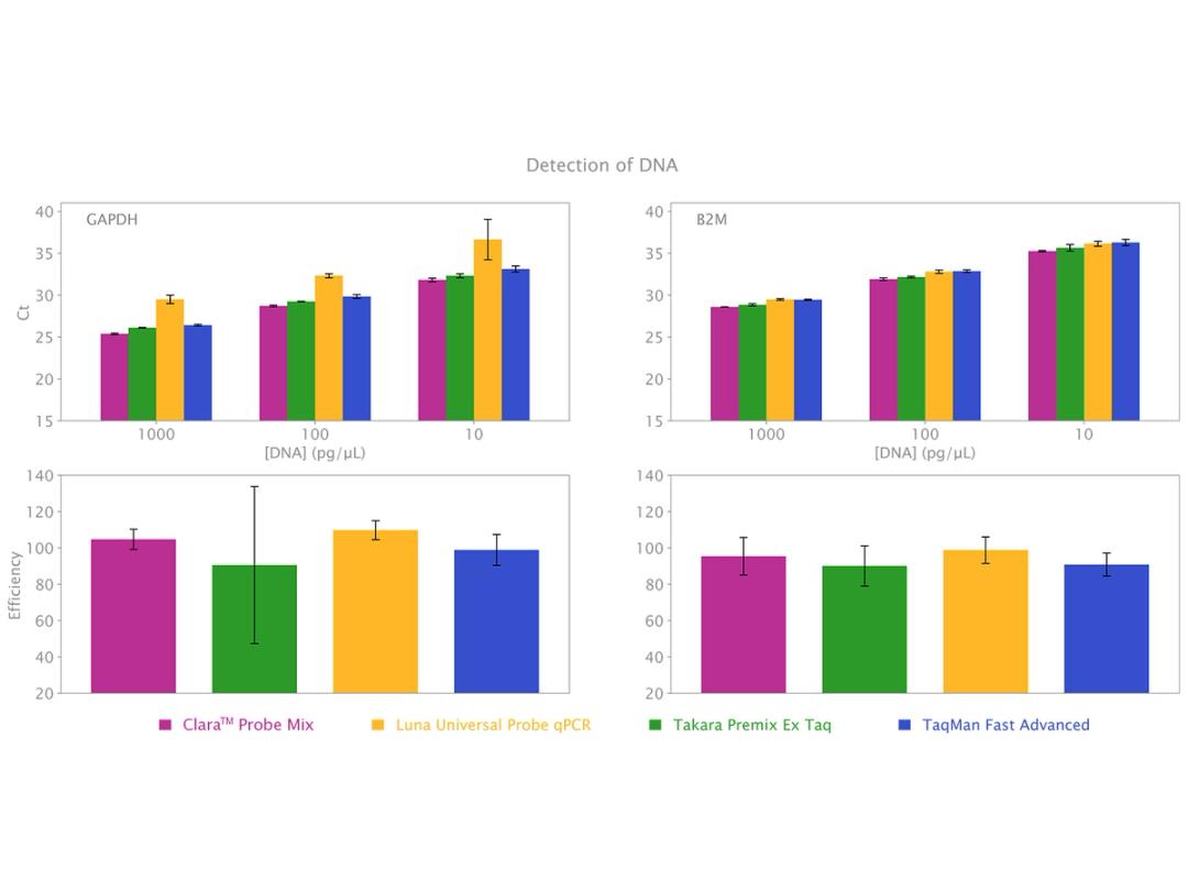
Clara® Probe Mix is a next-generation qPCR mastermix designed to give you reliable results with superior sensitivity. This optimised 4x formulation is engineered for maximum reliability in both single and multiplex assays. It is suitable for diagnostic test development and basic research and is universally compatible with all probe types and qPCR instruments.
Features
- Concentrated 4x mix format, ideal for high-throughput, highly multiplexed assays
- Superior detection of DNA targets
- Reliable quantification of low template amounts
- Reduced primer dimer formation for high specificity
- Antibody-mediated hot start technology
- AquaPlex formulation available for improved multiplex performance
- Compatible with all real-time PCR platforms - standard and fast cycling conditions
Multiplex qPCR assay performance may be compromised by certain probe dyes, such as Cy5, which can result in lower fluorescence and delayed amplification. If this is a concern, try our Clara® Probe Mix AquaPlex formulation which enables the use of alternative dyes like Texas Red in the Cy5 channel, improving both fluorescence intensity and target detection.
Overcoming Cy5 fluorescence limitations in multiplex qPCR using Clara AquaPlex
Multiplex qPCR assay performance may be compromised by certain probe dyes, such as Cy5, which can result in lower fluorescence and delayed amplification. Clara® Probe and Clara® Probe 1-Step AquaPlex Mixes offer a solution by enabling the use of alternative dyes like Texas Red in the Cy5 channel, improving both fluorescence intensity and target detection. This application note demonstrates how substituting Cy5 with Texas Red in Clara® AquaPlex Mixes enhances the sensitivity and performance of multiplex qPCR and 1-step RT-qPCR assays, making them ideal for applications where accurate detection and reliable results are critical.
A test panel for rapid Monkeypox virus detection using multiplex probe-based qPCR
In this application note, PCR Biosystems describes a reliable and rapid (40-70 min) multiplex assay for the detection of Monkeypox and the identification of the viral type. Monkeypox is an infectious disease in humans and other animals, which manifests with fever, swollen lymph nodes, and a rash that forms blisters and crusts over. It may take up to 21 days to show symptoms from initial exposure, and they may last for two to four weeks. The disease is caused by the Monkeypox virus (MPXV), a zoonotic DNA virus belonging to the genus Orthopoxvirus, the same genus of variola virus (known to cause smallpox). There are teo types of MPXV affecting humans, of which clade II (formerly known as the West African clade) causes a less severe disease than the Central African / Congo basin (clade I) type.



















