Clara® Probe 1-Step Purple Mix
Clara® Probe 1-Step Purple Mix offers clear and consistent results every time, with an easy-to-see, inert, purple dye for sample visualisation. This new single tube RT-qPCR mix is suitable for universal probe-based detection of RNA and DNA targets in single and multiplex assays.

The supplier does not provide quotations for this product through SelectScience. You can search for similar products in our Product Directory.
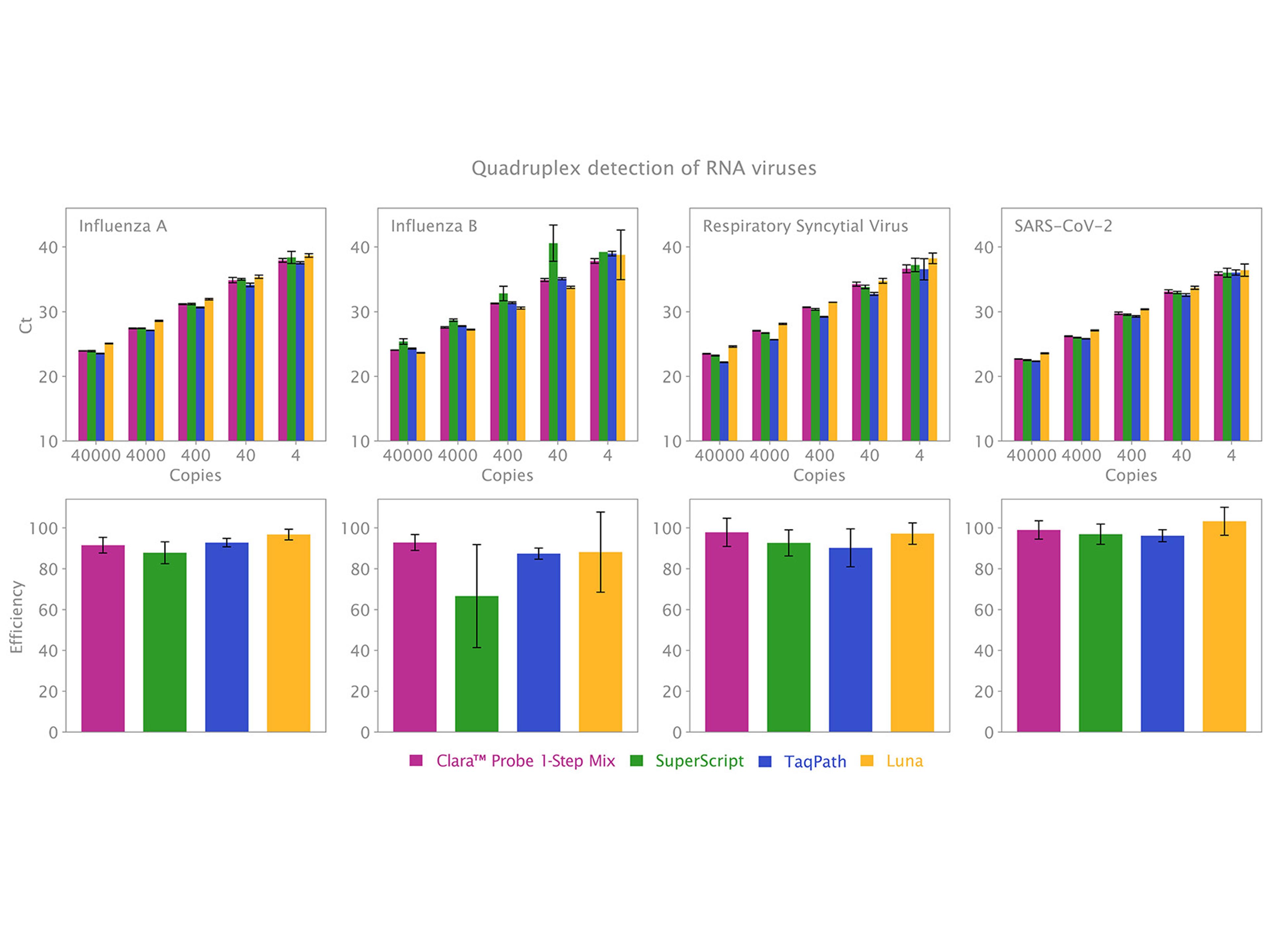
Clara® Probe 1-Step Purple Mix enables qPCR and 1-step RT-qPCR with the highest sensitivity, reliability, and with the greatest ease of use in diagnostic applications and basic research alike. It is a universal qPCR mix suitable for all types of probe technologies, including TaqMan, Scorpions and molecular beacons. This is our first generation of all-in-one 1-step RT-qPCR mixes, where both the DNA polymerase and reverse transcriptase are included in the same mastermix.
Clara® Probe 1-Step Purple Mix is powered by our unique hot start Taq DNA polymerase and a specially modified version of our high performance, thermostable UltraScript® Reverse Transcriptase.
Clara® Probe 1-Step Purple Mix combines the speed, sensitivity and specificity of the Clara® reagent family with an inert purple dye for easy sample visualisation. The dye has greatly reduced quenching of probe fluorophores, to ensure accurate qPCR results, while reducing handling and pipetting.
Features:
- Concentrated 4x mix format, ideal for high-throughput, highly multiplexed assays
- Inert purple dye for easy visualisation during setup
- Superior detection of RNA & DNA targets
- Reliable quantification of low copy templates
- Early detection of a wide range of template amounts
- Contains modified UltraScript® RTase in a single-tube format
- Advanced RNase inhibitor
- Antibody-mediated hot start technology
- Compatible with all real-time PCR platforms – standard and fast cycling conditions















