Clara® Probe 1-Step Mix
RT-qPCRs are no longer a challenge. Get clear and consistent results every time with Clara® Probe 1-Step Mix. This new single tube RT-qPCR mix is suitable for universal probe-based detection of RNA and DNA targets in single and multiplex assays.

The supplier does not provide quotations for this product through SelectScience. You can search for similar products in our Product Directory.
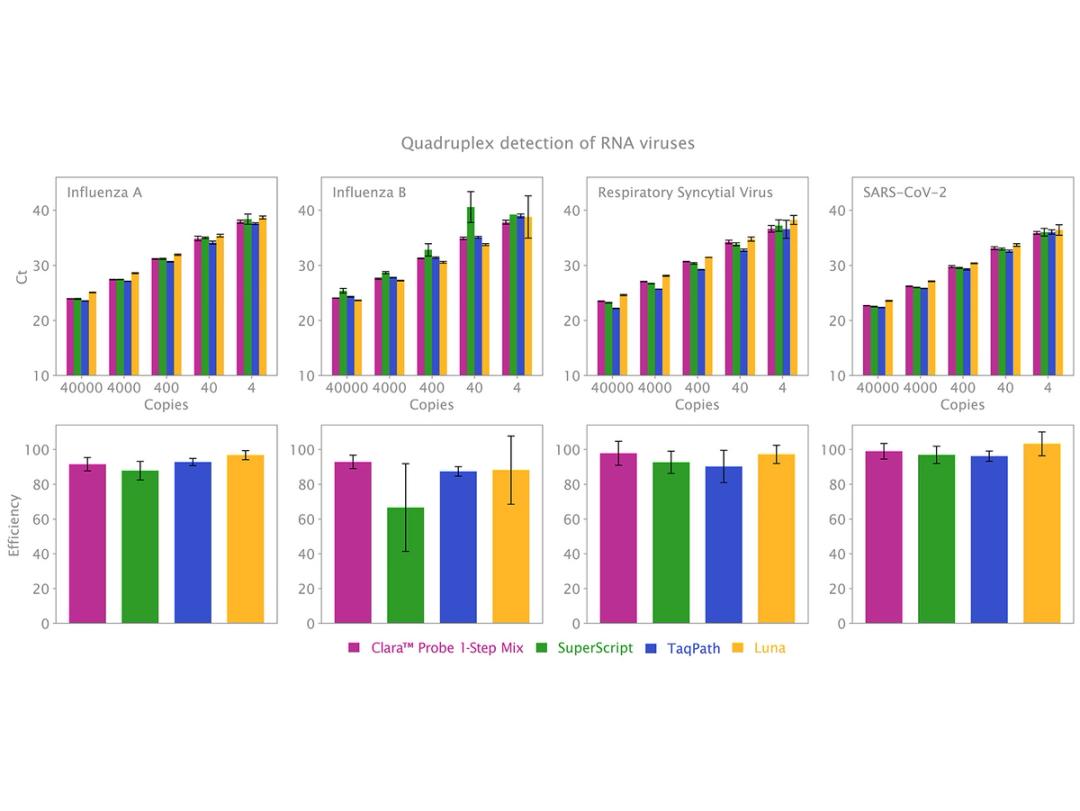
This carefully balanced 4x RT-qPCR mix combines maximum sensitivity with ease-of-use for streamlined 1-step probe RT-qPCR workflows. As a result, the mix shows no loss of efficiency in amplifying DNA or RNA and is ideal for users who detect both types of targets without the requirement for separate qPCR reagents.
Features
- Concentrated 4x mix format, ideal for high-throughput, highly multiplexed assays
- Ultra-sensitive detection of RNA & DNA targets
- Early detection of a wide range of template amounts
- Contains modified UltraScript® RTase in a single-tube format
- Advanced RNase inhibitor
- Antibody-mediated hot start technology
- AquaPlex formulation available for improved multiplex performance
- Compatible with all real-time PCR platforms - standard and fast cycling conditions
Multiplex qPCR assay performance may be compromised by certain probe dyes, such as Cy5, which can result in lower fluorescence and delayed amplification. If this is a concern, try our Clara® Probe 1-Step Mix AquaPlex formulation which enables the use of alternative dyes like Texas Red in the Cy5 channel, improving both fluorescence intensity and target detection.
Overcoming Cy5 fluorescence limitations in multiplex qPCR using Clara AquaPlex
Multiplex qPCR assay performance may be compromised by certain probe dyes, such as Cy5, which can result in lower fluorescence and delayed amplification. Clara® Probe and Clara® Probe 1-Step AquaPlex Mixes offer a solution by enabling the use of alternative dyes like Texas Red in the Cy5 channel, improving both fluorescence intensity and target detection. This application note demonstrates how substituting Cy5 with Texas Red in Clara® AquaPlex Mixes enhances the sensitivity and performance of multiplex qPCR and 1-step RT-qPCR assays, making them ideal for applications where accurate detection and reliable results are critical.


















