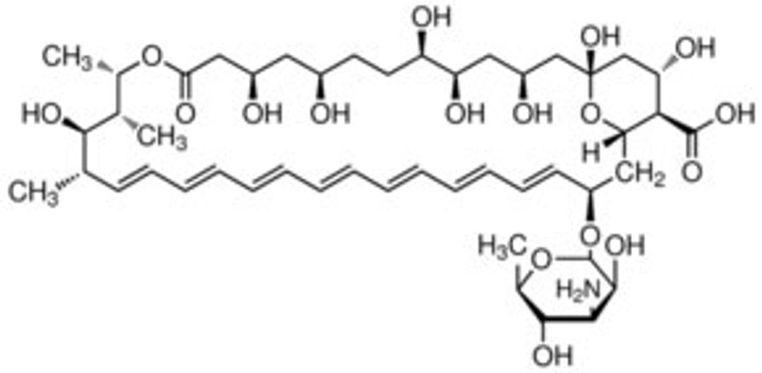
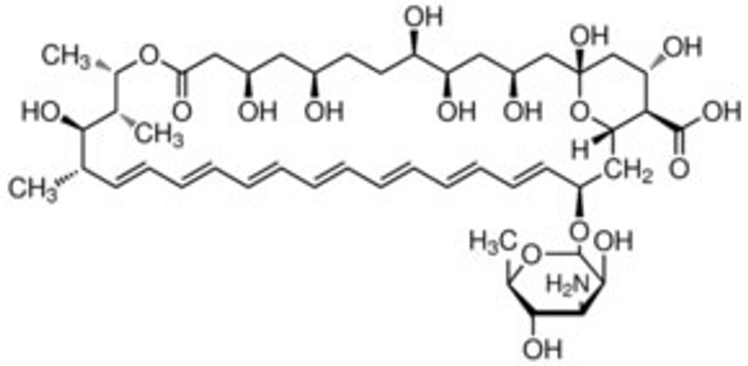
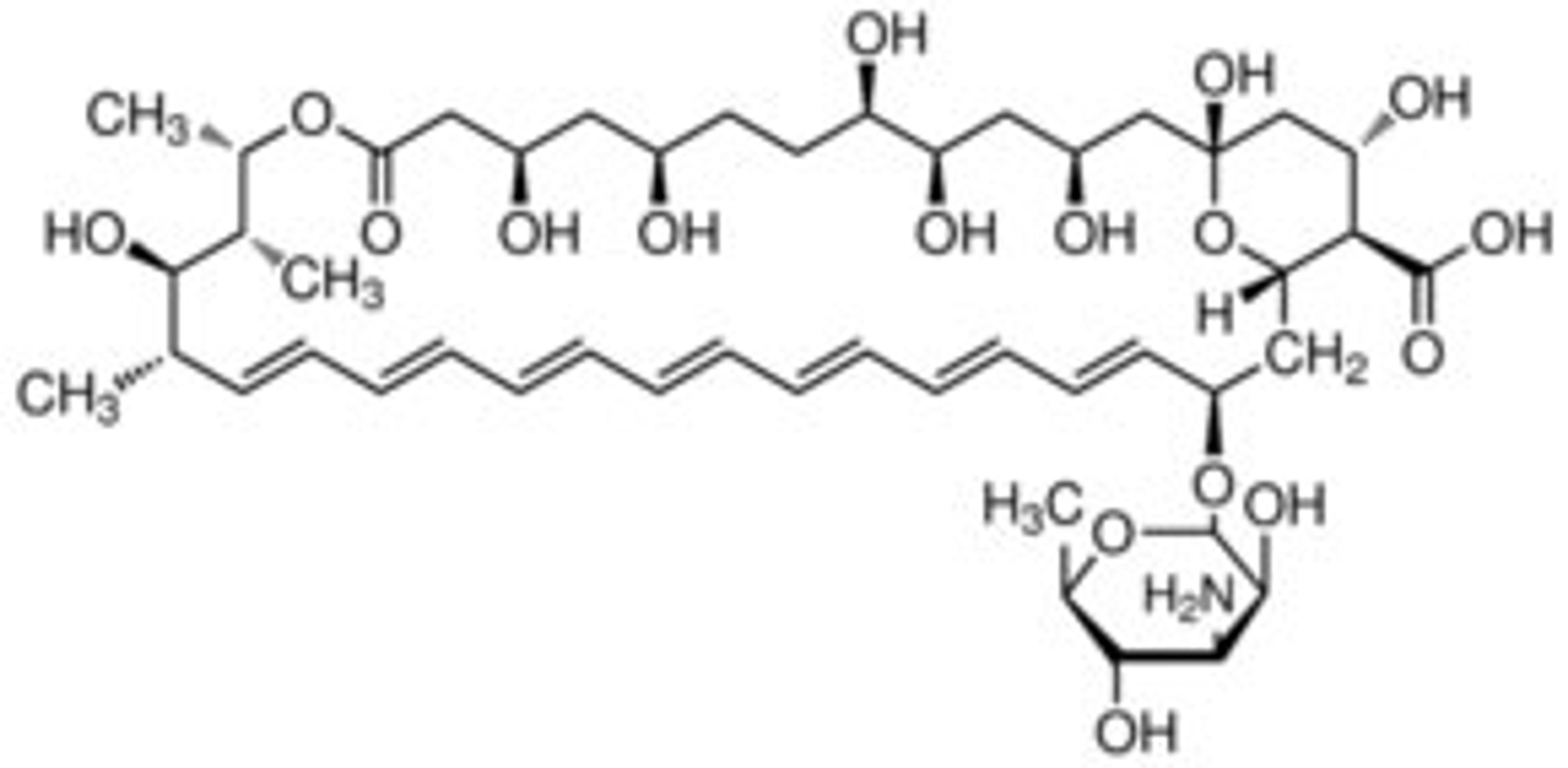
Amphotericin B solubilized
Powder, γ-irradiated, BioXtra, suitable for cell culture.

The supplier does not provide quotations for this product through SelectScience. You can search for similar products in our Product Directory.
Application:
Amphotericin B is a polyene antifungal antibiotic from Streptomyce sp. It has a high affinity for sterols, especially ergosterols, of both fungal and bacterial cell membranes. Normal usage in maintenance of antifungal cell cultures is 2.5 mg/L with penicillin and streptomycin used in the medium.













